手机版
加入收藏
无障碍浏览
简体
繁体
当前位置:
首页
> 灵璧县政府办
>
保障性住房
>
配后管理
>
租金收取
信息分类:
内容分类:
租金收取
发文日期:
2026-03-06 15:57:03
生成日期:
2026-03-06 15:57:03
生效时间:
废止时间:
发布机构:
灵璧县政府办
文 号:
名 称:
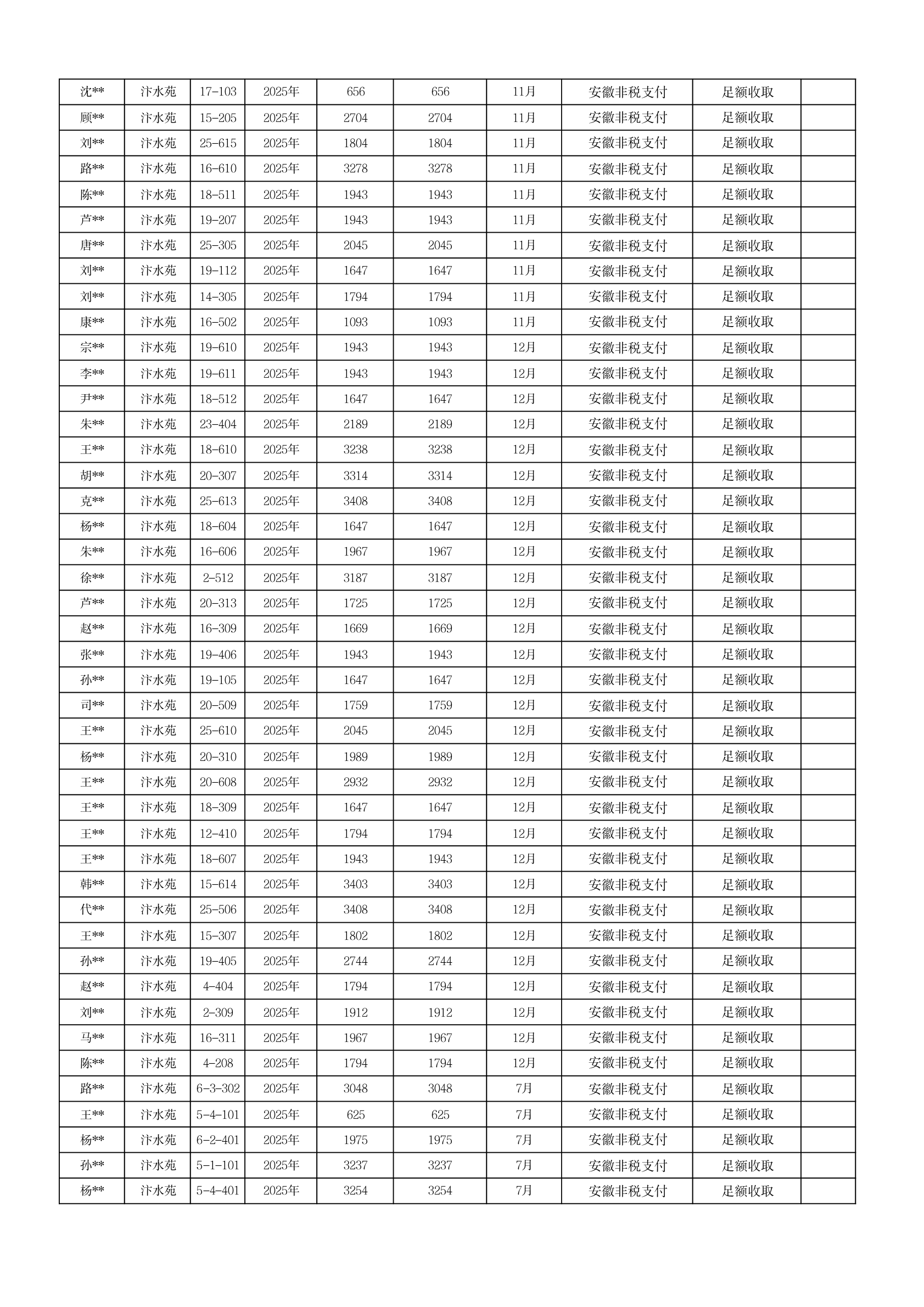
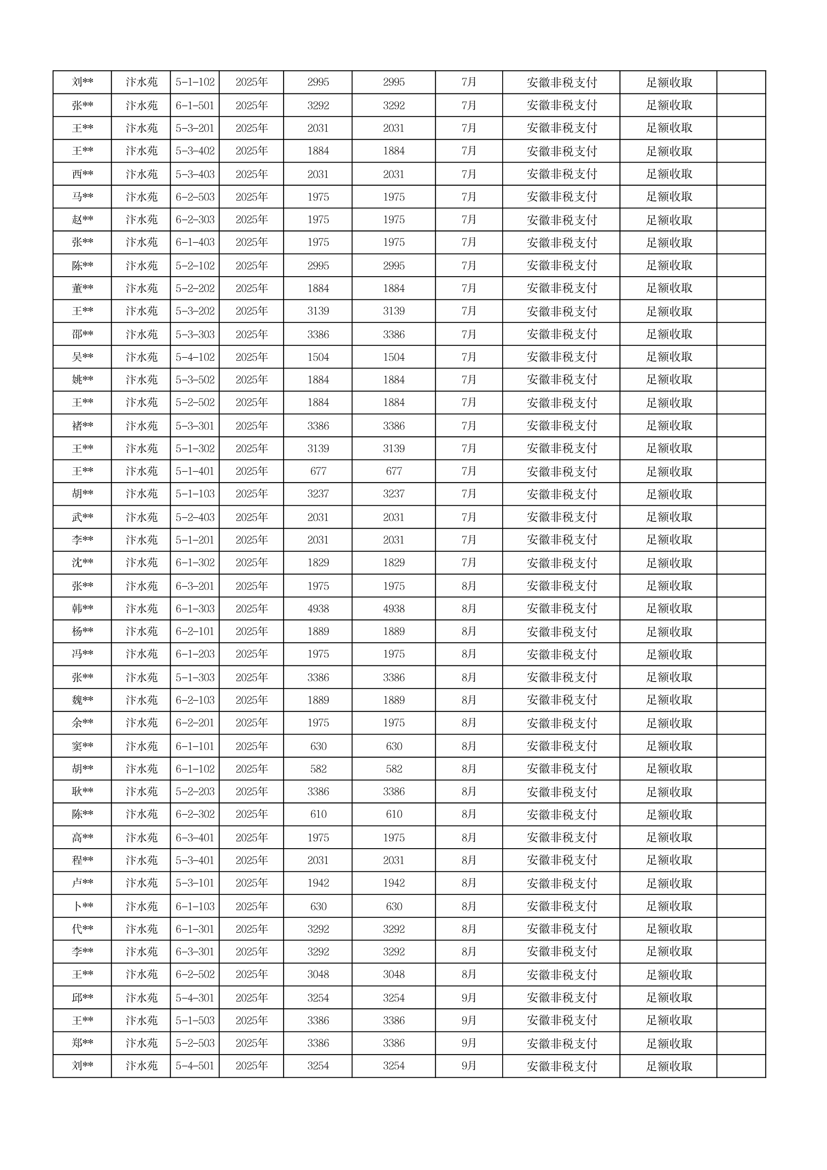
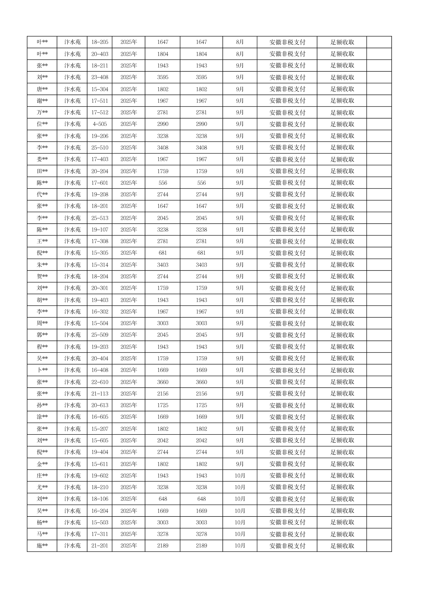
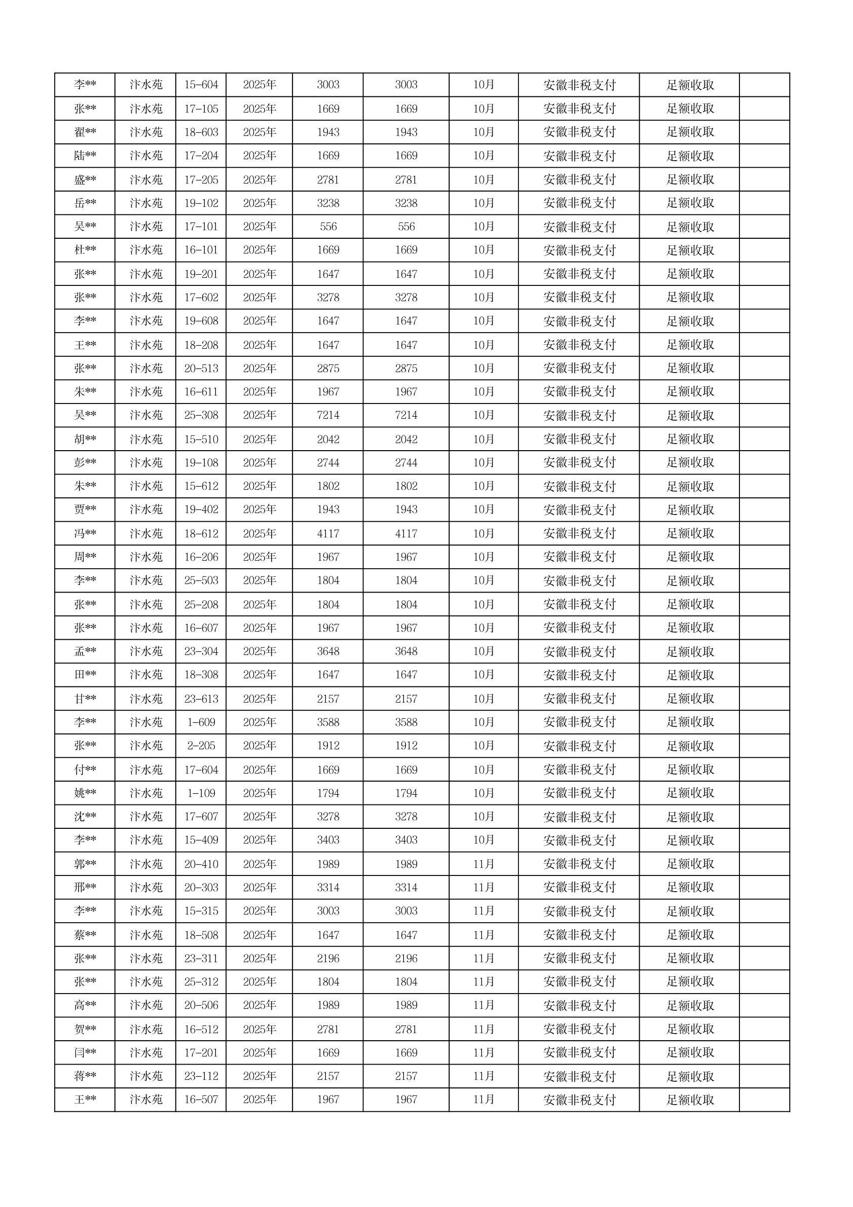
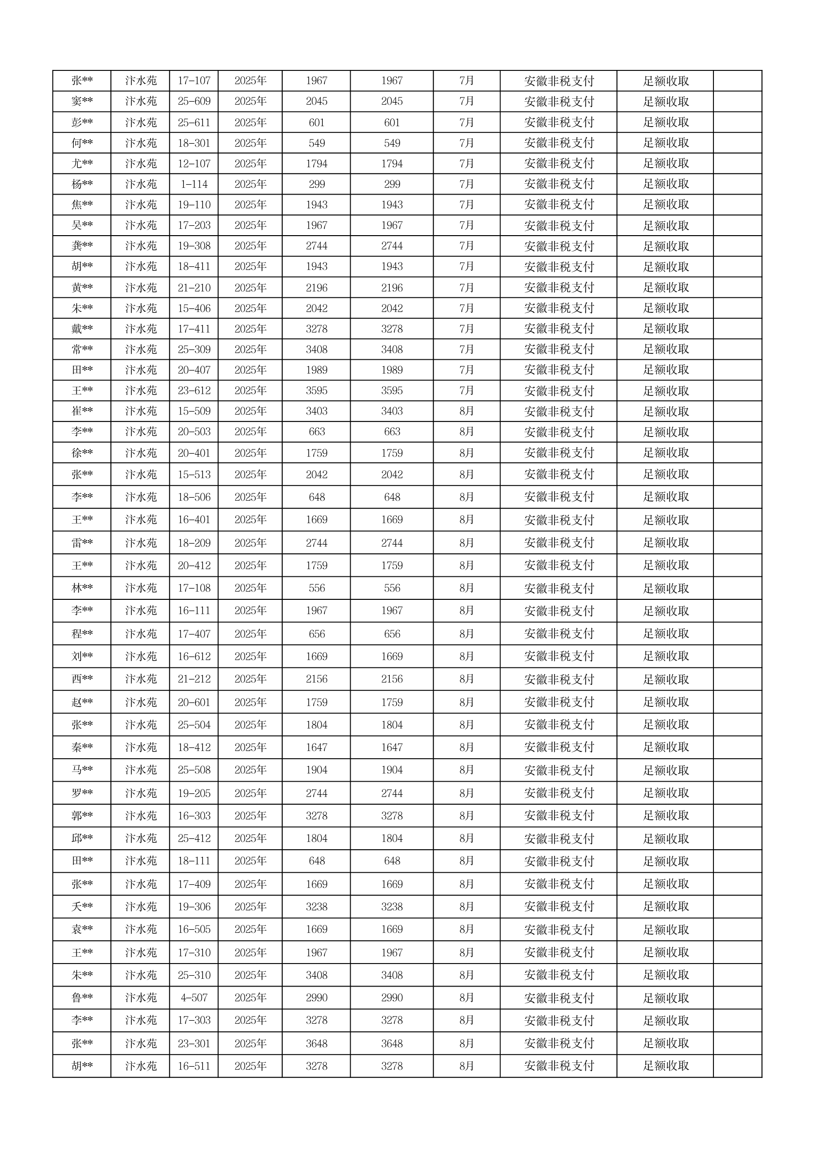
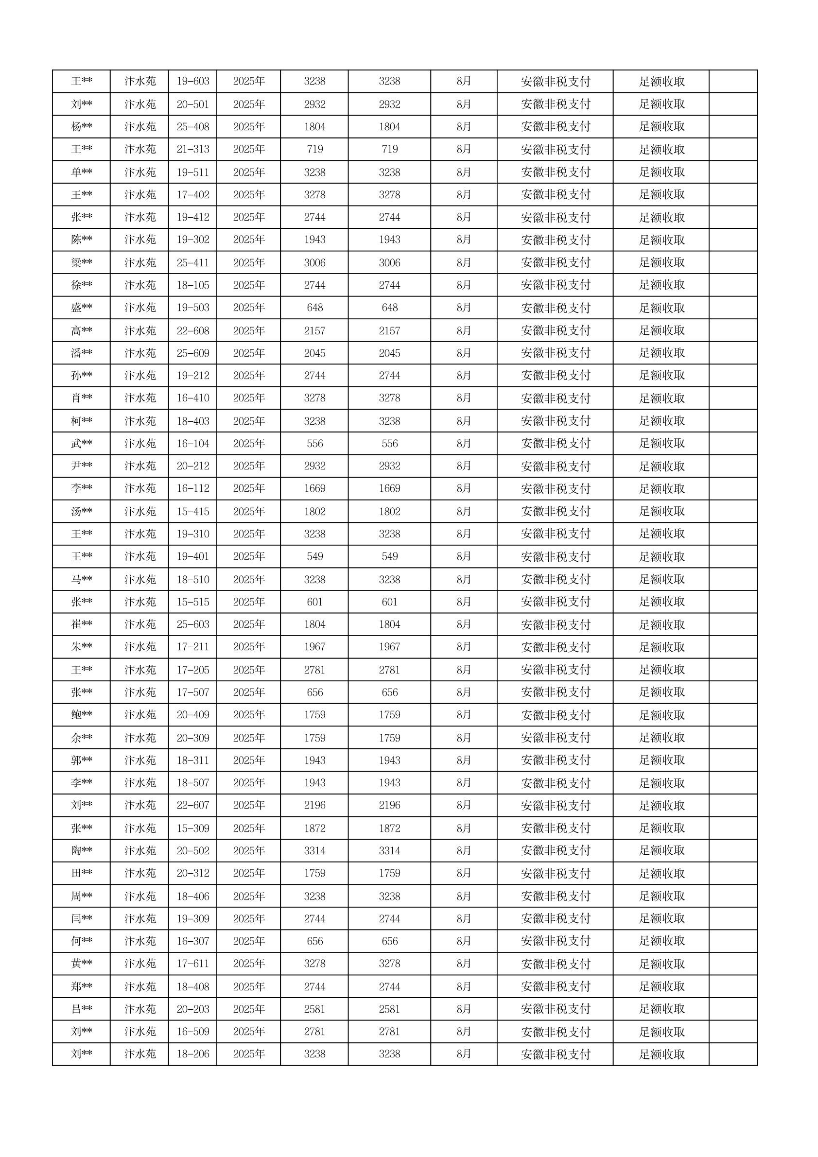
灵璧县公共租赁住房2025年下半年租金收取情况统计表
关
键
词:
灵璧县公共租赁住房2025年下半年租金收取情况统计表
文章来源:灵璧县住房和城乡建设局
浏览量:
发表时间:2026-03-06 15:57
责任编辑:住建局政务公开
字体大小:
【
大
中
小
】
网上信访
政务微博
政务微信
智能问答
手机版
分 享
返回顶部