手机版
加入收藏
无障碍浏览
简体
繁体
当前位置:
首页
> 灵璧县政府办
>
保障性住房
>
配给管理
>
选房或摇号公告
信息分类:
内容分类:
选房或摇号公告
发文日期:
2025-12-10 17:14:48
生成日期:
2025-12-10 17:14:48
生效时间:
废止时间:
发布机构:
灵璧县政府办
文 号:
名 称:
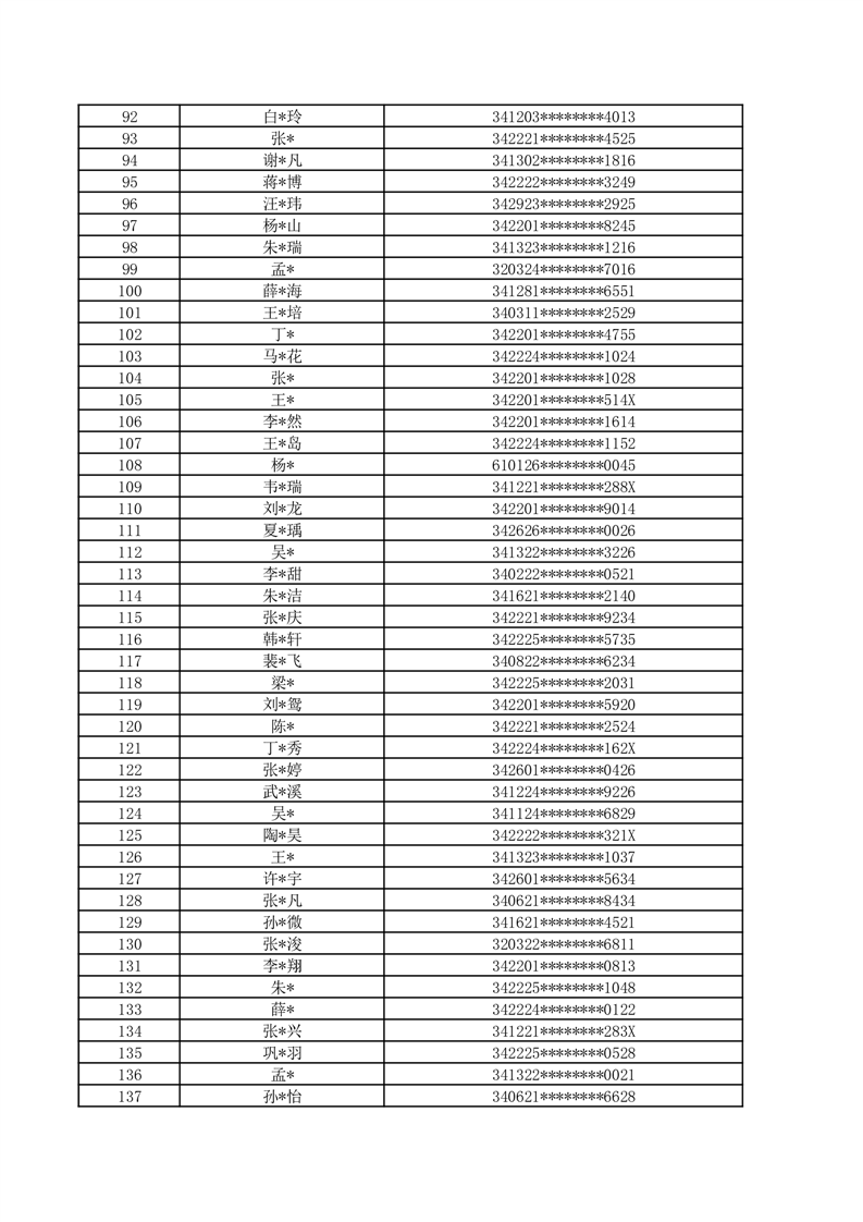
2025年(第二批)灵璧县公共租赁住房摇房人员名单
关
键
词:
2025年(第二批)灵璧县公共租赁住房摇房人员名单
文章来源:灵璧县住房和城乡建设局
浏览量:
发表时间:2025-12-10 17:14
责任编辑:住建局政务公开
字体大小:
【
大
中
小
】
网上信访
政务微博
政务微信
智能问答
手机版
分 享
返回顶部